2.0-2.5 Ton Lithium-Ion Forklift
Portable Intelligent Charger
Intelligent Air-Cooling System: Controls the fan to prevent forklift shutdown caused by overheating
Maintenance-Free Electronic Control System and Lithium Battery
LED Front Headlights: Enable easier and safer operation at night
- Overview
- Recommended Products
Product Details
2-2.5 Ton Lithium-Ion Forklift is an industrial handling equipment powered by a lithium-ion battery with a rated load of 2.0-2.5 tons. Designed specifically for medium and heavy material transfer, it integrates the advantages of environmental friendliness, high efficiency and precise control, adapts to workshop production and logistics warehousing scenarios, and can seamlessly collaborate with industrial conveyors and express automatic sorting machines.
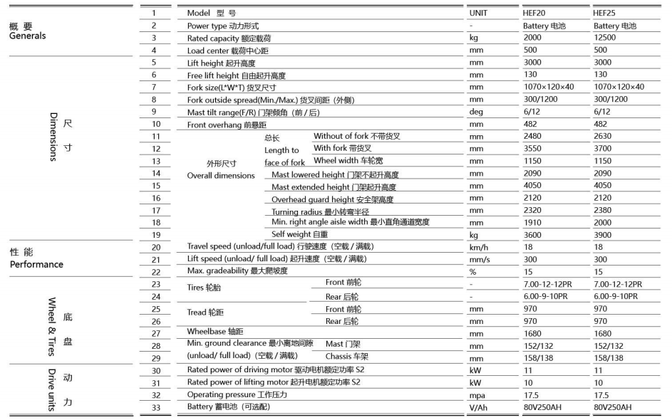
Relevant Parameters


Scenario Details Description
1.Industrial Conveyor Collaboration
Application: Raw material supply and finished product transfer in auto parts and building materials workshops
Logic: Precisely docks at conveyor ports (height error ≤50mm), efficiently completes material transfer, avoiding production line congestion
Advantages: Speed regulation matches conveying rhythm, low noise adapts to workshop environment, efficiency 3 times higher than manual handling
2.Express Automatic Sorting Machine Collaboration
Application: Medium and heavy parcel transfer in e-commerce warehouses and express hubs
Logic: Transports 2-2.5-ton whole-case parcels to sorting machine feeding tables; transfers sorted parcels from chutes to transport vehicles
Advantages: Zero emission for enclosed warehouses, 12h continuous operation, collaboration error rate ≤0.1% with sorting machines